TinToll Performance Materials Co., Ltd.
TinToll Performance Materials Co., Ltd.
Glycol-bis-3-(3-terc-butil-4-hidroxi-5-metilfenil) propionato de trietileno

PowerNox™2450

N. o CAS 36443-68-2

Glycol-bis-3-(3-terc-butil-4-hidroxi-5-metilfenil) propionato de trietileno


Sinônimo:

Etilenebis (oxietileno) bis-(3-(5-terc-butil-4-hidroxi-m-tolil)-Propionato)


PowerNox™2450 é um antioxidante primário para polímeros orgânicos. Rolha de corrente no processo de fabricação de PVC e ABS. Ele exibe um efeito sinérgico quando usado em combinação com antioxidantes tioéster.

TY_QT3 N. o CAS 36443-68-2
Glycol-bis-3-(3-terc-butil-4-hidroxi-5-metilfenil) propionato de trietileno

Dados técnicos do PowerNox™2450 N ° CAS 36443-68-2

SinônimosIrganox 245, Songnox 2450, Lowinox GP45, Hostanox 245.

Número CAS

36443-68-2

Número EINECS

253-039-2

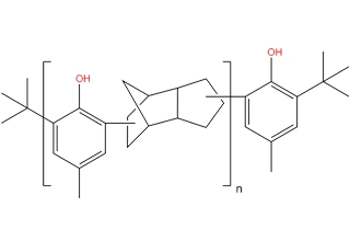
Estrutura química

triethylene glycol bis 3 3 tert butyl 4 hydroxy 5 methylphenyl propionate

Fórmula química

C34H50O8

Peso Molecular

587

Embalagem

PowerNox™2450 é fornecido em caixa de papelão de 25kg, tambor de fibra de 50kg.

Nota

Todas as informações do folheto são baseadas em nosso conhecimento e experiência atuais. Reservamo-nos o direito de fazer quaisquer alterações de acordo com o progresso tecnológico ou futuros desenvolvimentos. Desempenho desteAntioxidante fenol impedidoAqui descrito deve ser verificado por teste.


Nós expressamos especificamente qualquer outra garantia expressa ou implícita de adequação para um propósito específico ou comercialização.


Dispudiamos a responsabilidade por quaisquer danos incidentais ou consequentes.

Benefícios & Aplicações de PowerNox™2450 N ° CAS 36443-68-2

PowerNox™2450 é um antioxidante fenólico estericamente impedido de alto desempenho que protege o polímero contra a degradação termo-oxidativa durante os processos de fabricação e em aplicações de uso final.


PowerNox™2450 é um antioxidante eficaz para estirenicos, borrachas sintéticas, homo e copolímero POM, poliuretanos, poliamidas, poliésteres, MBS e PVC.


PowerNox™2450 é baixa volatilidade, boa estabilidade de cor e resistente à extração.


PowerNox™2450 pode ser usado com benzotriazóis ouProduto químico HALSPara estabilização térmica e de luz em uso ao ar livre.

Propriedades físicas do PowerNox™2450 N ° CAS 36443-68-2

Aparência

Pó branco de fluxo livre

Ponto de fusão [°C]

76-79

Perda volátil (%)

Max.0.5

Cor da solução 425nm (%)

Min.95

Cor da solução 500nm (%)

Min.97

Cinzas (%)

Max.0.1

Pureza (%)

Min.98

Solubilidade de PowerNox™2450 N ° CAS 36443-68-2

Solubilidade [20 °C]

% W/w

Acetona

> 50

Benzeno

18

Clorofórmio

> 40

Etanol

10

Acetato de etilo

37

N-Hexano

<0,1

Metanol

12

Diclorometano

> 40

Tolueno

6

Estireno

6

Água

<0,01


Como podemos ajudá-lo?
Reqest uma amostra? Solicite uma cotação? Pergunta técnica? Encontre um distribuidor?
Recomendado HPAO antioxidante fenol impedido
Glycol-bis-3-(3-terc-butil-4-hidroxi-5-metilfenil) propionato de trietileno