TinToll Performance Materials Co., Ltd.
TinToll Performance Materials Co., Ltd.
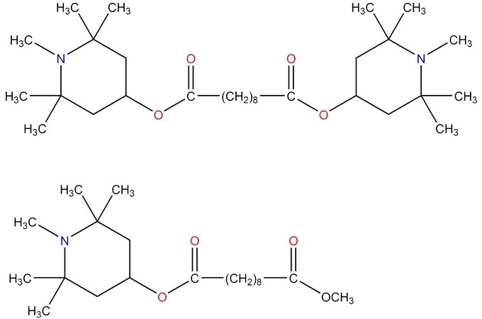
Bis(1,2,2, 6,6-pentametil-4-piperidinil)-sebacato e 1-(Metil)-8-(1,2,2, 6,6-pentametil-4-piperidinil)-sebacato

PowerStab™292

N. o CAS 41556-26-7 82919-37-7

Bis(1,2,2, 6,6-pentametil-4-piperidinil)-sebacato e 1-(Metil)-8-(1,2,2, 6,6-pentametil-4-piperidinil)-sebacato


PowerStab™292 é um estabilizador de luz de amina com baixa redução molecular (HALS) que é eficaz em uma ampla gama de plásticos e revestimentos. Tem excelente desempenho de estabilização de luz em plásticos e revestimentos e forma de produto líquido estável.

TY_QT3 N. o CAS 41556-26-7 82919-37-7
Bis(1,2,2, 6,6-pentametil-4-piperidinil)-sebacato e 1-(Metil)-8-(1,2,2, 6,6-pentametil-4-piperidinil)-sebacato

Dados técnicos do PowerStab™292 N ° CAS 41556-26-7 + 82919-37-7

SinônimosTinuvin 292, Tinuvin 765, Uvinul 4092H, Songlight 2920, SABO _ Stab UV65, Cyasorb UV-3581, Lowilite 92, Eversorb 93 (765), EVERSTAB LS 292.

Número CAS

41556-26-7, 82919-37-7

Número EINECS

255-437-1, 280-060-4

Estrutura química

bis 1,2,2,6,6 pentamethyl 4 piperidinyl sebacate and 1 methyl 8 1,2,2,6,6 pentamethyl 4 piperidinyl sebacate

Fórmula química

C30H56N2O4, C21H39NÃO4

Peso Molecular

509/370

Embalagem

PowerStab™292 é fornecido em 25kg líquido/tambor de plástico.

Nota

Todas as informações do folheto são baseadas em nosso conhecimento e experiência atuais. Reservamo-nos o direito de fazer quaisquer alterações de acordo com o progresso tecnológico ou futuros desenvolvimentos. O desempenho do produto aqui descrito deve ser verificado por teste.


Nós expressamos especificamente qualquer outra garantia expressa ou implícita de adequação para um propósito específico ou comercialização.


Dispudiamos a responsabilidade por quaisquer danos incidentais ou consequentes.

Benefícios & Aplicações do PowerStab™292 N ° CAS 41556-26-7 + 82919-37-7

PowerStab™292 é um baixo molecularEstabilizador de luz amina impedida(HALS) que é eficaz em uma ampla gama de plásticos e revestimentos. As aplicações de plástico incluem poliuretanos, PVC flexível, polímeros estirênicos (ABS, ASA), acrílicos, poliésteres insaturados, elastômeros, adesivos e selantes. O produto também é ideal para uso em plastisol e masterbatches líquidos para plásticos.


As aplicações de revestimentos incluem revestimentos de repintura, revestimentos industriais, revestimentos de bobina, revestimentos de madeira, tintas de venda comercial e acrílicos curáveis por radiação. O produto é adequado para uso em sistemas de revestimento à base de água e solvente.

Propriedades físicas do PowerStab™292 N ° CAS 41556-26-7 + 82919-37-7

Aparência

Líquido viscoso amarelo claro

Gravidade específica[20°C, G/cm3]

0,99

Cor da solução 425nm (%)

Min.94

Cor da solução 500nm (%)

Min.96

Cinzas (%)

Max.0.1

Pureza (%)

Min.96

Solubilidade do PowerStab™292 N ° CAS 41556-26-7 + 82919-37-7

Solubilidade [20 °C]

% W/w

Carbitol butílico

> 50

Butanol

> 50

Acetato de butilo

> 50

Depanol J1)

> 50

Etilglicol

> 50

Diacrilato de hexanodiol

> 50

1-Metoxipropilacetato-2

> 50

Metiletilcetona

> 50

Trimetilolpropanotriacrilato

> 50

Xileno

> 50

Água

<0,01


Como podemos ajudá-lo?
Reqest uma amostra? Solicite uma cotação? Pergunta técnica? Encontre um distribuidor?
Recomendado Estabilizador de luz de amina impedida
Bis(1,2,2, 6,6-pentametil-4-piperidinil)-sebacato e 1-(Metil)-8-(1,2,2, 6,6-pentametil-4-piperidinil)-sebacato