TinToll Performance Materials Co., Ltd.
TinToll Performance Materials Co., Ltd.
Poli [[6-[(1,1, 3,3-tetrametilbutil) amino]-1, 3,5-triazina-2, 4-diil][(2,2, 6,6-tetrametil4-piperidinil) imino]-1,6-hexanodiil [(2,2, 6,6-tetrametil-4-piperidinil) imino]])

PowerStab™944

N. o CAS 71878-19-8, 70624-18-9 (EUA)

Poli [[6-[(1,1, 3,3-tetrametilbutil) amino]-1, 3,5-triazina-2, 4-diil][(2,2, 6,6-tetrametil4-piperidinil) imino]-1,6-hexanodiil [(2,2, 6,6-tetrametil-4-piperidinil) imino]])


Sinônimo:

1,6-hexanodiamina, N,N'-bis(2,2, 6,6-tetrametil-4-piperidinil)-, polímero com 2, 4,6-tricloro-1, 3,5-triazina, produtos de reação com 2, 4,4-trimetil-2-pentanamina


PowerStab™944 é um estabilizador de luz de amina impedida polimérica. Possui excelente desempenho de estabilização de luz em poliolefinas (seção fina e espessa), baixa volatilidade e excelente resistência à migração.

TY_QT3 N. o CAS 71878-19-8, 70624-18-9 (EUA)
Poli [[6-[(1,1, 3,3-tetrametilbutil) amino]-1, 3,5-triazina-2, 4-diil][(2,2, 6,6-tetrametil4-piperidinil) imino]-1,6-hexanodiil [(2,2, 6,6-tetrametil-4-piperidinil) imino]])

Dados técnicos do PowerStab™944 N ° CAS 71878-19-8, 70624-18-9 (EUA)

SinônimosChimassorb 944 LD, Omnistab LS944, Songlight 9440, Sabostab UV94, Lowilite 94, Eversorb 91, Chiguard 944LD, EVERSTAB LS 944, Chisorb 944.

Número CAS

71878-19-8 ou 70624-18-9

Número EINECS

615-678-9 ou 615-131-4

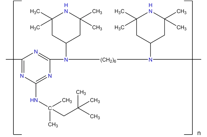
Estrutura química

poly 6 1,1,3,3 tetramethylbutyl amino 1,3,5 triazine 2,4 diyl 2,2,6,6 tetramethyl4 piperidinyl imino 1,6 hexanediyl 2,2,6,6 tetramethyl 4 piperidinyl imino

Fórmula química

(C35H68N8)N

Embalagem

PowerStab™944 é fornecido em 25kg saco PE.

Nota

Todas as informações do folheto são baseadas em nosso conhecimento e experiência atuais. Reservamo-nos o direito de fazer quaisquer alterações de acordo com o progresso tecnológico ou futuros desenvolvimentos. O desempenho do produto aqui descrito deve ser verificado por teste.


Nós expressamos especificamente qualquer outra garantia expressa ou implícita de adequação para um propósito específico ou comercialização.


Dispudiamos a responsabilidade por quaisquer danos incidentais ou consequentes.

Benefícios & Aplicações do PowerStab™944 N ° CAS 71878-19-8, 70624-18-9 (EUA)

PowerStab™944 é um estabilizador de luz de amina impedida polimérica (HALS) que é eficaz em uma ampla gama de polímeros e aplicações. OHALS estabilizador UVÉ particularmente útil em aplicações de PE (moldagem por injeção, filme e fita), PP (moldagem por injeção, filme e fibras), TPO, fibras de poliamida, PVC flexível e rígido, TPE estênicos, poliuretanos e aplicações adesivas especiais. Também é adequado para uso em xileno XLDPE.

Propriedades físicas do PowerStab™944 N ° CAS 71878-19-8, 70624-18-9 (EUA)

Aparência

Grânulo branco a amarelo claro

Gravidade específica (20 °C)

1.01

Ponto de fusão (°C)

100-135

Ponto de inflamação (°C)

Min.150

Voláteis (%)

Max.1.0

Cor da solução 425nm (%)

Min.95

Cor da solução 450nm (%)

Min.96

Cinzas (%)

Max.0.1

Solubilidade do PowerStab™944 N ° CAS 71878-19-8, 70624-18-9 (EUA)

Solubilidade [20 °C]

% W/w

Acetona

> 50

Clorofórmio

> 30

Etanol

<0,1

Acetato de etilo

> 50

N-Hexano

41

Metanol

3

Cloreto de metileno

> 50

Tolueno

> 50

Água

<0,01


Como podemos ajudá-lo?
Reqest uma amostra? Solicite uma cotação? Pergunta técnica? Encontre um distribuidor?
Recomendado Estabilizador de luz de amina impedida
Poli [[6-[(1,1, 3,3-tetrametilbutil) amino]-1, 3,5-triazina-2, 4-diil][(2,2, 6,6-tetrametil4-piperidinil) imino]-1,6-hexanodiil [(2,2, 6,6-tetrametil-4-piperidinil) imino]])