TinToll Performance Materials Co., Ltd.
TinToll Performance Materials Co., Ltd.
Níquel (II) Dibutilditiocarbamato

PowerStab™NDBC

N. o CAS 13927-77-0

Níquel (II) Dibutilditiocarbamato


PowerStab™NDBC é energia verde-azeitona. É solúvel em clorofórmio, benzeno e bissulfeto de carbono, um pouco solúvel em acetona, insolúvel em água.

TY_QT3 N. o CAS 13927-77-0
Níquel (II) Dibutilditiocarbamato

Dados técnicos do PowerStab™NDBC N ° CAS 13927-77-0

SinônimosNBC

Número CAS

13927-77-0

Número EINECS

237-696-2

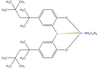
Estrutura química

nickel ii dibutyldithiocarbamate

Fórmula química

C18H36N2NIS4

Peso Molecular

467,43

Embalagem

PowerStab™O NDBC é fornecido em tambor de fibra de peso líquido de 25kg com revestimento PE.

Nota

Todas as informações do folheto são baseadas em nosso conhecimento e experiência atuais. Reservamo-nos o direito de fazer quaisquer alterações de acordo com o progresso tecnológico ou futuros desenvolvimentos. O desempenho do produto aqui descrito deve ser verificado por teste.


Nós expressamos especificamente qualquer outra garantia expressa ou implícita de adequação para um propósito específico ou comercialização.


Dispudiamos a responsabilidade por quaisquer danos incidentais ou consequentes.

Benefícios & Aplicações do PowerStab™NDBC N ° CAS 13927-77-0

PowerStab™NDBC é usado principalmente em SBR, CR e borracha de polietileno fonada com clorosul para evitar a rachadura de borracha sob a luz do sol e ozônio e melhorar a resistência ao calor de CR e borracha de polietileno fonada com clorosul.


PowerStab™O NDBC é regulamentado para uso em artigos em contato com alimentos, conforme especificado no BgVV XXI, Categoria 4.

Propriedades físicas do PowerStab™NDBC N ° CAS 13927-77-0

Aparência

Verde azeitona em pó

Densidade [20 °C, g/cm3]

1,30

Ponto de fusão (°C)

85-90

Perda de calor (%)

Max.0.5

Resíduo na peneira 150μm (%)

Max.0.1

Resíduo na peneira 63μm (%)

Max.0.5

Teor de níquel (%)

12.0-12.8


Como podemos ajudá-lo?
Reqest uma amostra? Solicite uma cotação? Pergunta técnica? Encontre um distribuidor?
Recomendado Quencher de níquel
Níquel (II) Dibutilditiocarbamato