TinToll Performance Materials Co., Ltd.
TinToll Performance Materials Co., Ltd.
2,2-dimetoxi-2-fenilacetofenona

PowerCure™651

N. o CAS 24650-42-8

2,2-Dimetoxi-1,2-difenil-etanona


PowerCure™651 um fotoiniciador, que é usado para inicializar a polimerização radical, por exemplo, na preparação de polímeros de acrilato. Quando sob a influência da luz, a molécula formará radicais que iniciam a polimerização radical.

TY_QT3 N. o CAS 24650-42-8
2,2-dimetoxi-2-fenilacetofenona

Dados técnicos do PowerCure™651 N ° CAS 24650-42-8

SinônimosOmnirad BDK, Irgacure 651

Número CAS

24650-42-8

Número EINECS

246-386-6

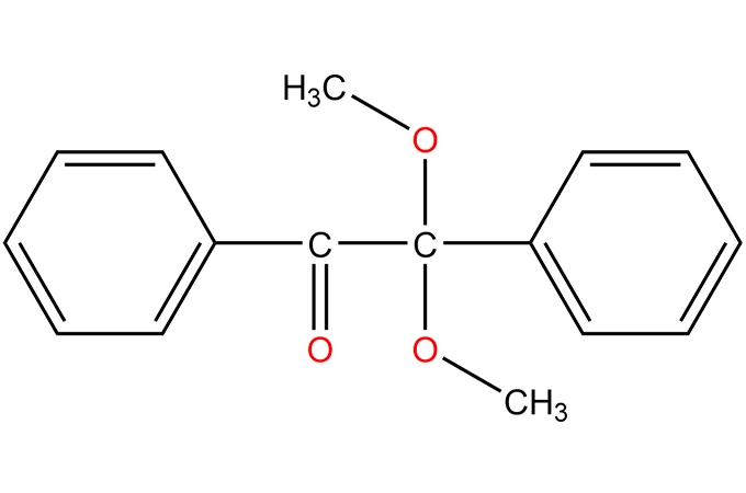
Estrutura química

2,2 dimethoxy 2 phenylacetophenone

Fórmula química

C16H16O3

Peso Molecular

256.3

Embalagem

PowerCure™651 é fornecido em 20Kg carton.

Nota

Todas as informações do folheto são baseadas em nosso conhecimento e experiência atuais. Reservamo-nos o direito de fazer quaisquer alterações de acordo com o progresso tecnológico ou futuros desenvolvimentos. Desempenho desteFotoiniciador tipo IAqui descrito deve ser verificado por teste.


Nós expressamos especificamente qualquer outra garantia expressa ou implícita de adequação para um propósito específico ou comercialização.


Dispudiamos a responsabilidade por quaisquer danos incidentais ou consequentes.

Benefícios & Aplicações de PowerCure™651 N ° CAS 24650-42-8

PowerCure™651 é amplamente utilizado na polimerização de ácido acrílico e acrilato, a polimerização e reticulação de poliéster insaturado.


PowerCure™651 pode ser aplicado em revestimentos e adesivos e usado principalmente como agente de cura UV (ultravioleta) no sistema de cura UV, aplicado a tinta, papel e tinta metálica.


PowerCure™651 é um tipo de iniciador de cura UV altamente eficiente, que é usado principalmente como iniciador da reação de cura UV.


PowerCure™651 é usado como reagente analítico e usado para impressão de resina fotossensível.

Propriedades físicas do PowerCure™651 N ° CAS 24650-42-8

Aparência

Cristal branco

Ponto de fusão [°C]

67-70

Ponto de ebulição [°C]

169

Densidade

1.1320

Pressão de vapor [25 °C, Pa]

0,002

Índice de refração

1.5590

Ensaio (%)

Min.99.0

Cinzas (%)

Max.0.1

Fp [°C]

190

Perda na secagem (%)

Max.0.5

Resíduo inflamado (%)

Max.0.1

Conteúdo de água

Max.0.5

Resíduo de benzoína (%)

0,2

Transmissão 425nm (%)

Min.95.0

Transmissão 450nm (%)

Min.96.0

Transmissão 500nm (%)

Min.98.0

Solubilidade do PowerCure™651 N ° CAS 24650-42-8

Solubilidade [20 °C]

% W/w

Acetona

> 50

Metanol

41

Estireno

> 50

Acetato de butilo

> 50


Como podemos ajudá-lo?
Reqest uma amostra? Solicite uma cotação? Pergunta técnica? Encontre um distribuidor?
Recomendado Fotoiniciadores Radicais Grátis-Tipo I
2,2-dimetoxi-2-fenilacetofenona