TinToll Performance Materials Co., Ltd.
TinToll Performance Materials Co., Ltd.

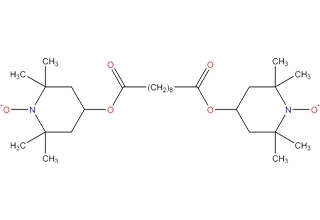
A polimerização de inibidores de radicais livres de monômeros insaturados geralmente se propaga por meio de radicais C, e estes podem inibir a polimerização combinando-se com outros radicais livres para formar espécies neutras. Os radicais livres TINTOLL estáveis incluem 4-Hidroxi TEMPO , 4-oxo-TEMPO, Tri-(4-Hidroxi-TEMPO) Fosfito e Bis(2,2, 6,6-tetrametil-4-piperidil-1-oxil) Sebacato, eles são muito eficazes removedores de radicais livres.

Tipos de inibidores de polimerização

Tipos de inibidores de polimerização

O que é inibidor de polimerização?

O que é inibidor de polimerização?

Os inibidores de polimerização são moléculas reativas que reagem com a extensão das cadeias poliméricas. Eles são usados para estabilizar monômeros e evitar que a luz, o calor e o ar iniciem a polimerização.

Os inibidores de polimerização sãoAditivos funcionaisQue são essenciais para armazenamento seguro e processamento de monômeros.

Adicionar pequenas quantidades de inibidores pode interromper a reação em cadeia de polimerização ou diminuir sua taxa significativamente.

Alguns inibidores de polimerização comuns incluem hidroquinonas e nitrosaminas. No entanto, os inibidores de polimerização tradicionais, como a hidroquinona, não podem impedir a polimerização sob certas condições.

A polimerização de radicais livres de monômeros insaturados geralmente se propaga por meio de radicais C, e estes podem inibir a polimerização combinando-se com outros radicais livres para formar espécies neutras.TINTOLLRadicais livres estáveis incluem 4-Hidroxi TEMPO, 4-oxo-TEMPO, Tri-(4-Hidroxi-TEMPO) Fosfito e Bis(2,2, 6,6-tetrametil-4-piperidil-1-oxil) Sebacato, eles são removedores de radicais livres muito eficazes.


Reqest uma amostra? Solicite uma cotação? Pergunta técnica? Encontre um distribuidor?